We have already presented the evolution of Gini coefficient in the USA since 1994 as measured by the Census Bureau. Figure 1 depicts time series in all age groups including the youngest ones. The difference between the age group between 15 and 24 and 25 to 34 is astonishing. In the youngest age group, the level of income inequality is the highest. Gini coefficient fluctuates around 0.51. In the second youngest group, Gini is rock solid at the level of 0.42. And both coefficients are calculated only for people with income, i.e. the portion without income does not influence the Gini estimates.
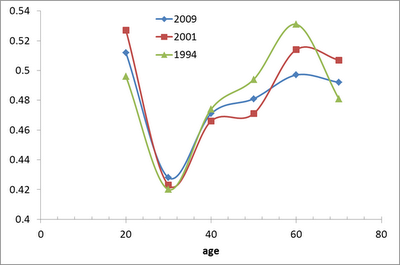
Figure 2 shows the Gini as a function of age for some selected years. The lowermost Gini belongs to the group between 24 and 34 and then starts to grow to the level of the youngest group. There should be two competitive mechanisms to produce this minimum.
Figure 1. The evolution of Gini coefficient in various age groups between 1994 and 2009.
Figure 2. Gini coefficient as a function of age


0 komentar:
Post a Comment